NRIロゴ2号
Google
 
Web narimatsu.net
トップページ
写真日記
リンク集

旧コンテンツ

News,( US, UK)
はてなアンテナ
wikipedia

kick4wiki
kick4bbs
ジャパンネット銀行
ピンポイント天気
postMap
G-Tools
Kumaduino

うだうだ日記Index
2011
1 2 3 4 5
2010
1 2 3 4 5 6 7 8 9 10 11 12
2009
1 2 3 4 5 6 7 8 9 10 11 12
2008
1 2 3 4 5 6 7 8 9 10 11 12
2007
1 2 3 4 5 6 7 8 9 10 11 12
2006
1 2 3 4 5 6 7 8 9 10 11 12
2005
1 2 3 4 5 6 7 8 9 10 11 12
2004
1 2 3 4 5 6 7 8 9 10 11 12
2003
1 2 3 4 5 6 7 8 9 10 11 12
2002
1 2 3 4 5 6 7 8 9 10 11 12
2001
1 2 3 4 5 6 7 8 9 10 11 12
2000
1 2 3 4 5 6 7 8 9 10 11 12

うだうだ日記

前の6日分 | 次の6日分

2007年1月31日 水曜日

Google AdSense

ひさしぶりにGoogle AdSenseワードのレポートを見ると、 まぁまぁ稼いでいた。 Amazonのアフィリエイトよりもちょっと多いぐらい。

でもGoogle AdWords側に、その何倍か払っていたり...



2007年2月1日 木曜日

みぞれ

朝から雪まじりの雨。 寒いぜ。 公立高校の入学試験の日らしい。

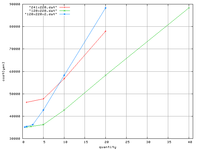
プリント基板製造費の考察

大型LED表示装置の試作品を顧客に見てもらったところ、 気に入ってもらえたようで安心する。 修正版の基板を発注しようと思うがが、 現在2桁単位で作っている基板を1桁単位にして枚数を倍にすれば 値段が安くなるかもしれないとp板.comでいろいろ条件を入力し 見積もりを取ってみる。 その結果を整理したのが右のグラフ。 赤い線が2桁単位の基板を1枚、5枚,10枚、20枚製造した時の 価格をプロットしたもの(5日間コース)。 緑の線は1桁単位の基板を同様に1,2,5,20,40枚製造した時の 価格をプロットしたもの。 1桁単位だと枚数が倍必要なので、同じデータで枚数を半分にして プロットしたのが青い線。 で、わかったのが2桁換算で8枚以上作るのであれば、 2桁単位で安いということ。 枚数が少ないうちはフィルム代等の固定費が安い1桁単位の方が安いが、 枚数が増えると1枚づつにかかる変動費が効いてきて 2桁単位の方が安いということか。 グラフにするとすっきりするなぁ。 gnuplotのグラフはきれいで好きだ。

インターネット・ラジオ

インターネット・ラジオみたいなものがあることは知っていたが 聞き方がよくわからなかった。 最近iTuneで聞けるらしいということに気が付き、 聞いてみるととても便利。 BGM派の私にはこれで十分な感じ。 まだ十分理解できていない気がするが、活用して行きたい。

2007年2月2日 金曜日

寒い

寒い。とても寒い。 風が水みたいに冷たい。

2007年2月3日 土曜日

今日も寒い

今日も寒い。

Hatenaメンテ中

今日はHatenaは一日メンテで、動いていないらしい。 すっかりHatena アンテナ依存体質になってしまっていることに気付く。

PostMap

散歩がてらに未登録ポストの写真を撮って歩く。 知っていたポスト以外に3つほど発見し、 合計8個登録。 結構広い範囲を歩くことになるので、 ジョギングのついでにPostMapとかやるとちょうといいかも。

パチンコ屋のLED看板

最近のパチンコ屋のLED看板は凄いということで動画で撮影。 まぁ、結局 屋外大型LED-TVなのだが、最近の物は発色も良い。

音は出ていない。 撮った動画を再生したら、道を走る車の音しか入っていなかった。


2007年2月4日 日曜日

怠惰な日曜日

いつものようにだらだらと過ごす。 まだ Civ4をやっていたりする。

2007年2月5日 月曜日

TV故障

居間の45インチ液晶TVが壊れたから見てくれと親に呼ばれる。 電源を入れて10秒ぐらいで、電源が落ちる。 背面が多少暖かくなっているので熱の問題っぽい。 取説を読むと熱で電源断になる場合、 画面右下にメッセージが出るとあるが、 それは出ていない。 何度試しても電源投入から電源断までの時間が同じぐらいなので、 OS起動後 FANが動いていないのを検出して落ちている感じ。 いつかのThinkPadと同じ話だ。

バラして埃を掃除すると直りそうだが、 45インチ液晶の背面を開けるのも気が進まないし、 失敗すると被害が大きいので、修理を呼ぶことを勧めたのが土曜日の話。 今日、帰宅するとTVが直っていたので話を聞くと やはりFANの故障だったようだ。

1年でFANが埃が詰まってTVが見れなくなるというのは設計ミスっぽい。

テニス

夜、テニス。 今日は暖かくて楽だ。 ゲームは4-6で負け。 でも面白い。

前の6日分 | 次の6日分